
近日,数学与统计学院黎野平教授、殷容副教授在国际数学顶刊Mathematische Annalen(德国数学年刊)上发表题为《Low mach number limit of the one-dimensional full compressible Navier-Stokes-Korteweg equations》(一维完全可压缩Navier–Stokes–Korteweg方程的低Mach数极限)的学术论文。
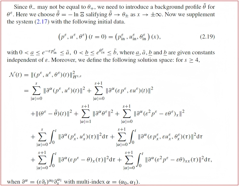
一维完全可压缩Navier-Stokes-Korteweg方程描述了具有内部毛细和热传导效应的可压缩粘性流体的运动。该论文重点关注密度和温度在无穷远处具有不同渐近状态的一维完全可压缩Navier-Stokes-Korteweg方程,分别针对好初值和一般初值研究其低Mach极限。对于好初值,当温度在无穷远处的状态差适当小时,作者证明了当马赫数趋于零时,一维完全可压缩Navier-Stokes-Korteweg方程的解全局收敛到一个非线性扩散波解,并给出了收敛速率。特别地,作者注意到扩散波的速度仅由温度变化驱动,并且当马赫数很小时,一维完全可压缩Navier-Stokes-Korteweg系统的解也具有相同性质。其次,对于一般初值,且温度在无穷远处的状态差可以任意大时,作者通过包含加权时间导数的一致估计和一个由波方程的色散估计推广的收敛引理,证明了低Mach极限。
《Mathematische Annalen》是数学界公认的国际顶级综合性数学期刊,于1869年创办于德国,致力于发表数学各领域具有突破性的重要成果,具有极高的学术声誉和影响力。著名数学家克莱因、希尔伯特曾先后担任该刊主编,著名物理学家爱因斯坦也曾担任编委并在该刊发表两篇重要论文。
相关链接:https://link.springer.com/article/10.1007/s00208-026-03329-4
(许志鹏)